北京哈科提出铝的接触角测量新方案
关键词:金属铝;润湿性;铺展;氧化铝膜;界面反应:表面张力
1.铝润湿性的理论基础与挑战
1.1 润湿性经典理论
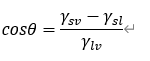
润湿性基本理论遵循Young-Laplace方程:

式中:
• γₛᵥ:固体与蒸汽之间的表面能(固体表面张力)。这是固体本身的性质,表示固体表面原子或分子未饱和的键合能力。数值高意味着表面“渴望”被覆盖以降低能量。
• γₛₗ:固体与液体之间的界面能。这取决于固体和液体之间的化学亲和力。亲和力越高,γₛₗ越低。
• γₗᵥ:液体与蒸汽之间的表面张力。这是液体的本征性质,表示液体抵抗表面积增加的倾向。 • θ:接触角。它是衡量润湿性的直接指标。 θ = 0°:完全润湿,液体自发铺展成薄膜。
• θ < 90°:润湿,液体倾向于铺展。 • θ > 90°:不润湿,液体倾向于团聚成球。 • θ = 180°:完全不润湿(理论极限)。
实验想要得到更好的润湿性,需要更小的接触角角度。根据Young-Laplace方程,接触角的角度跟各个表/界面的表/界面张力γ直接相关,因此,实际实验中需要更小的γlv,γsl,和更高的γsv。
1.2 铝/氧化铝体系的特殊性
在高温条件下氧化铝膜的形成:
铝极高的氧亲和力导致在任何含氧环境中瞬间形成厚度2-10 nm的致密、无定形Al₂O₃膜。
氧化铝膜的热力学稳定性:
氧化铝的熔点高达2054℃,在大部分实验中,达到和维持这个温度已经需要相当的技术水准与设备要求。其远远高于铝液的熔点,易形成“固态壳包裹液态核”的独特结构。
对润湿的阻碍:
氧化膜成为铝液与基底之间的物理屏障,极大地提高了表观表面张力,并阻碍了直接的原子级接触与界面反应。外部的氧化层,导致仪器无法在实验中直接观察到内部金属的润湿过程情况,对实验的数据采集,分析及后期工作人员的研究造成极大困扰。

2. 影响铝湿润性的关键因素
2.1 基底材料性质:

2. 2铝液成分:
杂质通过以下几种方式改变铝液的润湿性:
改变铝液表面张力 (γ_lv):某些元素是表面活性剂,能显著降低γ_lv,从而降低接触角(根据Young方程)。
改变氧化膜的性质:改变氧化膜的组成、结构、致密性和力学性能,从而影响其稳定性和是否易于破裂。
参与界面反应:与基底材料发生化学反应,生成新的界面相,改变固体-液体界面能 (γ_sl)。
改变铝液粘度与流动性:间接影响铺展动力学。
3. 工艺环境与参数:
温度:
温度升高有利于降低粘度和表面张力,促进反应,但也可能加剧氧化。
加热时间:
涉及界面反应的动力学过程。
气氛:
真空(去除氧分压,抑制膜再生)、高纯惰性气体(Ar, N₂)、还原性/活性气体(如含H₂、卤化物气体)。
表面预处理:
去除或改性初始氧化膜、提高表面活性的效果
3. 北京哈科实验仪器厂重大突破
北京哈科面对以上具体的工艺困难,结合多年的实践经验,成功的研发了一台高温高真空润湿性测试系统并研究了一套实际可行的试验解决方案和试验装置。该装置采用隔舱分离挤压进样方式,将试样准确的置于固体样品中心位置。试样前期进行去氧化膜液体处理,吹干。炉内进行洗炉清洁处理。高纯保护气体通过脱氧管路进行严格的纯化处理加入到炉腔内。严格控制好挤压管和平台温度。最后进行挤压融化试验。会保证每次试验99%成功率。
想实现铝金属及各种金属润湿过程研究请找北京哈科。让您受益无限!
“始于最初,终于最好”——HARKE


免责声明:本内容为广告,相关素材由广告主提供,广告主对本广告内容的真实性负责。本网发布目的在于传递更多信息,并不代表本网赞同其观点和对其真实性负责,广告内容仅供读者参考,如有疑问请联系:0564-3996046。